耐酸堿污水流量計廠家勵磁結構優化設計的實驗結果分析
點擊次數:3064 發布時間:2021-08-19 07:46:04
耐酸堿污水流量計廠家是根據電磁感應定律制成的一種測量導電性液體流量的儀表,可以解決其它流量計不易解決的問題,如臟污流、腐蝕流的測量 。由于小口徑耐酸堿污水流量計廠家傳感器產生的信號非常小 ,對工作環境要求比較高,比如溫度變化等。
勵磁方式決定著耐酸堿污水流量計廠家的抗干擾能力大小和零點的穩定性能 。耐酸堿污水流量計廠家的發展歷史與勵磁方式的演變過程關系密切。不同的勵磁方式代表著不同時代的特征和技術進步。近幾十年來,耐酸堿污水流量計廠家的關鍵技術——勵磁技術也經歷了直流勵磁(含永磁勵磁)、工頻正弦波勵磁、低頻矩糟波勵磁、低頻三值矩形波勵磁、高頻矩形波勵磁和可編程脈寬矩形波勵磁、雙頻矩形波勵磁六個階
勵磁方式決定著耐酸堿污水流量計廠家的抗干擾能力大小和零點的穩定性能 。耐酸堿污水流量計廠家的發展歷史與勵磁方式的演變過程關系密切。不同的勵磁方式代表著不同時代的特征和技術進步。近幾十年來,耐酸堿污水流量計廠家的關鍵技術——勵磁技術也經歷了直流勵磁(含永磁勵磁)、工頻正弦波勵磁、低頻矩糟波勵磁、低頻三值矩形波勵磁、高頻矩形波勵磁和可編程脈寬矩形波勵磁、雙頻矩形波勵磁六個階
特別是電磁干擾信號與有用的信號混在一起, 它們不僅成分復雜,而且有時候干擾信號還會比流量信號大在這種情況下怎樣抑制和排除這些干擾, 提高信噪比就成了研制和使用耐酸堿污水流量計廠家的一個重要的技術關鍵之一。
而勵磁方式的選擇直接影響傳感器內部勵磁線圈所產生的磁場情況,進一步影響傳感器輸出的感應電動勢信號和儀表的測量準確度。在總結現有勵磁方法及前人的工作的基礎上,本文采用雙頻 3 值勵磁方法提高信噪比以及零點穩定性和測量準確度。
1 雙頻 3 值勵磁方法的設計
國內有的產品在經過大約一年的現場運行以后,儀表的測量誤差會大大超過規定值,經現場技術人員和專家共同分析得出,其原因是對勵磁電路的勵磁方式和勵磁功耗沒有很好地綜合考慮,引起溫度不穩定造成的。國際上一般采用矩形波勵磁,如圖1所示勵磁波形。
而勵磁方式的選擇直接影響傳感器內部勵磁線圈所產生的磁場情況,進一步影響傳感器輸出的感應電動勢信號和儀表的測量準確度。在總結現有勵磁方法及前人的工作的基礎上,本文采用雙頻 3 值勵磁方法提高信噪比以及零點穩定性和測量準確度。
1 雙頻 3 值勵磁方法的設計
國內有的產品在經過大約一年的現場運行以后,儀表的測量誤差會大大超過規定值,經現場技術人員和專家共同分析得出,其原因是對勵磁電路的勵磁方式和勵磁功耗沒有很好地綜合考慮,引起溫度不穩定造成的。國際上一般采用矩形波勵磁,如圖1所示勵磁波形。

在恒流源上會產生較大的壓降,增加功耗。在一些防爆、電池供電的耐酸堿污水流量計廠家中這種
方式就會出現問題。可以通過改進波形來降低勵磁功耗。
為了能較準確地測量液固兩相導電性流體和低導電率流體的流量,進一步降低勵磁功耗,進一步實現傳感器小型輕量一體化,又必須采用較高頻率的矩形波勵磁,犧牲耐酸堿污水流量計廠家的零點穩定性。為降低勵磁功率,本文用圖 2 所示的波形勵磁。
方式就會出現問題。可以通過改進波形來降低勵磁功耗。
為了能較準確地測量液固兩相導電性流體和低導電率流體的流量,進一步降低勵磁功耗,進一步實現傳感器小型輕量一體化,又必須采用較高頻率的矩形波勵磁,犧牲耐酸堿污水流量計廠家的零點穩定性。為降低勵磁功率,本文用圖 2 所示的波形勵磁。

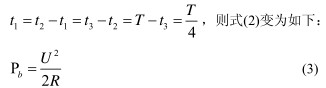
式中: R 為勵磁線圈等效電阻.
對比式(1)與式(2), 可知a bP P > , 即間歇式波形中功耗較小。 因此適當選擇1t ,2t ,3t ,T 大小, 可有效地降低勵磁功耗, 從而使得勵磁電流在電路中引起的溫度不穩定因素得以解決。在一個周期內非勵磁時間與勵磁時間相等,正向勵磁,負向勵磁與兩個非勵磁部分等于一個周期的四分之一,兩個非勵磁部分間隔在正勵磁與負勵磁之間,即

這樣功率就減少了一半,使得勵磁線圈在長期工作時溫度穩定性提高。如圖 2 中1t 和3 2t t − 為非勵磁部分,即勵磁電流為零。這部分很好的解決了由于溫漂引起的零點穩定性問題。
為了解決零點穩定性和抗干擾能力這一突出矛盾, *佳方案是采用雙頻 3 值矩形波勵磁的方法,使耐酸堿污水流量計廠家具有 3 值勵磁的零點穩定性好的特點,也進一步降低勵磁功耗。具有高頻矩形波勵磁降低泥漿干擾和流動噪聲的數量級, 獲得儀表的快速響應速度, 同時提高電磁流量傳感器輸出信號的信噪比, 成為耐酸堿污水流量計廠家劃時代的勵磁技術。 如果用雙向勵磁方法可以得到對兩個方向水流速度的監測, 即兩組反應水流速度的電動勢, 經過合理的信號處理就會使得以上的優點更加突出。
2 流量計勵磁結構優化設計
雙勵磁是十字交叉式勵磁,理想情況下,勵磁電流 I 1 產生的磁場只影響電極 A 1 和 A 2的電動勢,而勵磁電流 I 2 產生的磁場只影響 C 1 和 C 2 的電動勢。為了減小兩組線圈對其它電極的影響,雙向勵磁的兩組磁力線要成 90 度角,如圖 3 所示。
為了解決零點穩定性和抗干擾能力這一突出矛盾, *佳方案是采用雙頻 3 值矩形波勵磁的方法,使耐酸堿污水流量計廠家具有 3 值勵磁的零點穩定性好的特點,也進一步降低勵磁功耗。具有高頻矩形波勵磁降低泥漿干擾和流動噪聲的數量級, 獲得儀表的快速響應速度, 同時提高電磁流量傳感器輸出信號的信噪比, 成為耐酸堿污水流量計廠家劃時代的勵磁技術。 如果用雙向勵磁方法可以得到對兩個方向水流速度的監測, 即兩組反應水流速度的電動勢, 經過合理的信號處理就會使得以上的優點更加突出。
2 流量計勵磁結構優化設計
雙勵磁是十字交叉式勵磁,理想情況下,勵磁電流 I 1 產生的磁場只影響電極 A 1 和 A 2的電動勢,而勵磁電流 I 2 產生的磁場只影響 C 1 和 C 2 的電動勢。為了減小兩組線圈對其它電極的影響,雙向勵磁的兩組磁力線要成 90 度角,如圖 3 所示。

在雙頻 3 值勵磁方式中, 當利用正、 負方波組交替中的不勵磁段的零值來作為信號的零點參考,從而對正或負勵磁下的信號進行補償即動態消除信號的零點漂動值。這在三值正、負方波組勵磁中就是用三值中的零值勵磁輸出值來動態互補其他兩值下的信號零點。
顯然, 由于零值勵磁下的信號值并不是真正的正或負值勵磁下的信號零點漂動值, 而只能假設與信號零點漂動值有很大的相關性。 從而利用這種假設的信號零點漂動值來進行動態相關互補真正的信號零點漂動值。
3 實驗結果分析
零點動態相關互補方法是我們在研制微小流量耐酸堿污水流量計廠家、 脈沖流量耐酸堿污水流量計廠家采用的信號放大處理方法。 其優點是可使勵磁頻率能在勵磁回路的慣性常數允許下達到*大值, 并
保持信號放大處理后的零點穩定和對流動噪聲不敏感, 使耐酸堿污水流量計廠家具有良好的動態響應性能和零點穩定性能。
顯然, 由于零值勵磁下的信號值并不是真正的正或負值勵磁下的信號零點漂動值, 而只能假設與信號零點漂動值有很大的相關性。 從而利用這種假設的信號零點漂動值來進行動態相關互補真正的信號零點漂動值。
3 實驗結果分析
零點動態相關互補方法是我們在研制微小流量耐酸堿污水流量計廠家、 脈沖流量耐酸堿污水流量計廠家采用的信號放大處理方法。 其優點是可使勵磁頻率能在勵磁回路的慣性常數允許下達到*大值, 并
保持信號放大處理后的零點穩定和對流動噪聲不敏感, 使耐酸堿污水流量計廠家具有良好的動態響應性能和零點穩定性能。

勵磁電流 I 1 和 I 2 相差四分之一周期,這樣兩個勵磁電流的非勵磁部分可以避免在同一時間出現,導致這段時間水流速度數據丟失。如圖 4 所示。水流穿過勵磁電流 I 1 產生的磁場 B 1 在電極 A 1 和 A 2 兩端產生電動勢 E 1 反映的是 t 1 -t 2 和 t 3 -t 4 時間的水流信息;水流穿過勵磁電流 I 2 產生的磁場 B 2 在電極 C 1 和 C 2 兩端產生電動勢 E 2 則反映的是 t 0 -t 1 和 t 2 -t 3 時間的水流信息,這樣水流在整個周期內的流量信息都被采集到 E 1 與 E 2 內,保證了流量計數據的完整性。
本文勵磁方法的主要目的使耐酸堿污水流量計廠家對流量變化響應快、 零點穩定和對流動噪聲影響不敏感。 其原理是利用非勵磁部分的零點穩定特性與高頻快速響應特點兩者性能互補來改善勵磁耐酸堿污水流量計廠家性能,圖 5 是本文勵磁方法的原理圖。
本文勵磁方法的主要目的使耐酸堿污水流量計廠家對流量變化響應快、 零點穩定和對流動噪聲影響不敏感。 其原理是利用非勵磁部分的零點穩定特性與高頻快速響應特點兩者性能互補來改善勵磁耐酸堿污水流量計廠家性能,圖 5 是本文勵磁方法的原理圖。


這種雙頻勵磁法在較少流量起伏的情況下, 可以提供對流動噪聲影響不敏感, 同時有保證有穩定的零點的污水流量計。 而對流量連續波動的情況, 這種方法也難以保證穩定的零點,

4 結論
本文主要提出了耐酸堿污水流量計廠家新的勵磁方法: 雙頻 3 值勵磁方法, 通過合理設計使得外部干擾*小,儀器穩定性*高,對傳感器輸出信號處理濾除干擾信號提高精度。但本質上還是矩形波勵磁的方式的一種變形, 因此, 上述對信號處理方法的分析與探討具有一定的普遍性。
耐酸堿污水流量計廠家的動態響應與零點穩定性問題是一對相互制約的性能要求。 無論采用何種勵
磁方法兩者之間都存在矛盾。 本文的設計保證動態響應快的同時又提高了零點穩定性。 同時,通過隔直、濾波等其他手段也可以在較高勵磁頻率下達到零點較穩定的效果。對于節能、防爆以及高精確度檢測的要求,小功率與大量程范圍度的性能追求是必不可少的。因此,充分提高耐酸堿污水流量計廠家的綜合性能指標是耐酸堿污水流量計廠家技術的發展趨勢。 135
本設計的缺陷是對線圈的安裝要求較高,雙向勵磁的兩組磁力線要成 90 度角。以及對
線圈電感的匹配要求比較高,在以后的研究中希望能夠改進。
本文主要提出了耐酸堿污水流量計廠家新的勵磁方法: 雙頻 3 值勵磁方法, 通過合理設計使得外部干擾*小,儀器穩定性*高,對傳感器輸出信號處理濾除干擾信號提高精度。但本質上還是矩形波勵磁的方式的一種變形, 因此, 上述對信號處理方法的分析與探討具有一定的普遍性。
耐酸堿污水流量計廠家的動態響應與零點穩定性問題是一對相互制約的性能要求。 無論采用何種勵
磁方法兩者之間都存在矛盾。 本文的設計保證動態響應快的同時又提高了零點穩定性。 同時,通過隔直、濾波等其他手段也可以在較高勵磁頻率下達到零點較穩定的效果。對于節能、防爆以及高精確度檢測的要求,小功率與大量程范圍度的性能追求是必不可少的。因此,充分提高耐酸堿污水流量計廠家的綜合性能指標是耐酸堿污水流量計廠家技術的發展趨勢。 135
本設計的缺陷是對線圈的安裝要求較高,雙向勵磁的兩組磁力線要成 90 度角。以及對
線圈電感的匹配要求比較高,在以后的研究中希望能夠改進。


