相關產品推薦更多 >>
關于智能型電磁流量計的結構測量原理與信號檢測
點擊次數:2376 發布時間:2021-01-01 12:04:46
摘要:航空燃油質量流量是飛機燃油油量控制系統中的重要參數之一,航空燃油質量流量的精準、穩定測量,對飛機的燃油油量的判斷有著重要的意義。目前航空燃油質量流量測量多采用間接式智能型電磁流量計,間接式智能型電磁流量計易受環境變化影響,存在精度低、穩定性差、測量參數多等缺點。基于此,設計和開發一種新型的具有高精度、高抗干擾、性能穩定并適用于航空領域的智能型電磁流量計有著重要的意義。
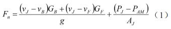
燃油流量檢測是飛機發動機的重要需求之一。燃油流量檢測能夠為飛行員提供進入發動機的燃油累計消耗量和瞬時消耗量的準確信息;監控飛機發動機工作狀態(加力、巡航、小推力);對發動機供油情況(輸油管路、供油泵、閥等)故障檢測;為發動機控制(電調)系統提供控制參數,輔助發動機控制;同時降低油耗,提升環保,提高經濟性。以我國目前開展的發動機研究工作為例,發動機的*關鍵參數之一就是凈推力,而凈推力的方程如式(1)。

式中:GF 為進入發動機的燃油流量。
由此可見,燃油流量檢測參數是飛機發動機控制的關鍵參數之一。燃油流量檢測的精度與可靠性,直接關系到飛機發動機控制系統的控制精度與可靠性,進而關系到整個飛機的飛行安全。隨著燃油流量仿真、材料科學和工藝技術的不斷發展,飛機需求不斷提高,研制新一代高精度、高可靠性的機載燃油質量流量流量計,對于提高整個飛機的技戰術指標,滿足飛機(發動機)的需求,有著十分重要的意義。
機載燃油流量測量的發展經歷了體積流量測量、間接式質量流量測量和直接式流量測量三個階段。*一階段體積流量測量。體積流量測量因測量精度低(一般在2% 左右),逐漸趨于淘汰。*二階段間接式質量流量測量。間接式質量流量測量有推導式、溫度 - 壓力補償式等。例如俄羅斯的 д30 發動機采用了推導式測量方法,即容積流量 - 密度計組合式流量測量獲得質量流量,該測量方式設備體積大、重量重、精度低、可靠性較低。*三階段直接式流量測量。歐美等先進**早在 20 世 紀 70、80 年代就成功研制出直接式智能型電磁流量計,主要是動量矩式。動量矩式流量計是根據牛頓*二定律的原理制作的。從力學角度來說,質量是物體慣性的量度。物體受外力作用,運動狀態發生變化,其變化量的大小與質量有關。測量運動狀態對時間的變化率,即可測得質量流量。動量矩式流量計利用流體動量矩的變化反映質量流量,其典型結構是在儀表殼內有一個主動輪和一個從動輪,分別裝在兩短軸上。動量矩式流量計有兩種形式,一種是采用電動機以恒定角速度 ω 驅動主動輪,需要外能源。例如斯貝發動機安裝的智能型電磁流量計。另一種是采用簧片控制燃油通量,從而控制主動輪與從動輪的轉速,此種質量流量控制方法采用流體自身能量控制主動輪與從動輪恒速。其主要原理是測量部件由兩個用渦圈彈簧連接的渦輪(主動輪與從動輪)構成,渦輪受流體本身的流動能量沖擊而旋轉,兩渦輪葉片旋轉傾角不同而造成的力矩差由連接的渦圈彈簧平衡,使兩渦輪間形成扭角。扭角的大小反映質量流量的大小。測量扭角造成的信號時間差,即可測得質量流量。直接式質量流量流量計精度高(一般在 0.5% 左右,且不受溫度和燃油品質變化的影響)、體積小、重量輕、可靠性高,因此廣泛地應用于波音、空客以及新一代戰斗機上。
我國機載燃油流量測量主要是體積式流量測量,所采用的間接式質量流量測量,僅是測仿俄羅斯 д30 發動機的容積流量 - 密度計組合式智能型電磁流量計。至今,直接式流量測量剛開始起步(資料收集、方案論證階段),且未應用在任何國產飛機(發動機)上。
1 智能型電磁流量計結構及測量工作原理
智能型電磁流量計主要由機械組合件、殼體組合件、出口殼體組合件及外殼組合件等組成。
機械組合件沿殼體組合件的中心軸安裝,把流經智能型電磁流量計的燃油質量流量轉換成在其上旋轉的兩個磁鐵間的角度偏移量 φ。磁鐵轉過智能型電磁流量計殼體組合件上的兩感應線圈時,感應線圈產生并輸出脈沖信號。兩個脈沖之間存在一個時間差 △t,差值與兩個磁鐵間角度偏移量和質量流率成正比例關系。
1.1 工作原理
燃油從殼體組合件的入口端流入,流過殼體組合件上的整流體時,整流體對燃油進行整流,使流量相對平穩而不紊亂。隨后,燃油再流過機械組合件。在機械組合件的出口端,旋形帽的螺旋槽將流過的燃油改變流動方向,方向與渦輪的葉片形成一定的夾角 θ。當燃油流過渦輪時,使渦輪獲得一個角動量開始旋轉,從而使機械組合件活動部件隨著旋轉。
1.2 燃油流速的測量
為了推導渦輪轉速和燃油質量流率的關系,可先將渦輪展開,渦輪帶箭頭的斜線表示燃油流向。如果渦輪固定不動,流體流過葉片時將受到阻力,則當燃油離開渦輪的葉片時,將產生一個切向速度 V。

式中: v為流入流量計的燃油流速平均值;θ為渦輪葉片與燃油之間的夾角。
假設渦輪負載為零,這時的切向速度就是渦輪的切向速度。在這種情況下,燃油中某一油分子由 a 點流到b 點,渦輪正好轉過一個葉片。因此,燃油經過渦輪時部被扭曲,滿油能量損失,渦輪的理論旋轉角速度公式:

式中:r 為渦輪葉片的平均半徑。
從以上可以看出,渦輪將燃油流速轉換為渦輪的轉速,當流入智能型電磁流量計的燃油流率一定,則渦輪的轉速n 恒定不變。
1.3 轉速的控制
支柱組合件的厚簧片和薄簧片隨燃油流量的增加或減少而張開或閉合。小流率時,厚簧片和薄簧片處于閉合狀態,所以多數流量由旋形帽的螺旋槽導流。流率小時,流率增加會使渦輪轉速快速增加。大流率時,厚簧片和薄簧片張開,不接觸旋形帽表面,部分流量不受螺旋形槽的影響。
1.4 質量流量與葉輪偏轉角的換算
假設渦輪固定不動,燃油流過渦輪的葉片時將受到阻力,則當燃油離開渦輪的葉片時,將產生一個切向動量 mv,這個動量即為渦輪獲得沖量 。

式中:I 為渦圈彈簧材料截面慣性矩;φ 為渦圈彈簧變形角;T '為作用在渦圈彈簧上的力矩;l 為渦圈彈簧工作圈展開長度;E 為渦圈彈簧材料彈性模量。
2 信號采集
燃油入口端,軸組合件的軸肩上安裝了一個起始磁鐵。渦輪旋轉帶動軸組合件一起旋轉,當起始磁鐵每次經過起始線圈組合件時,起始線圈組合件將產生一個起始脈沖信號。燃油出口端,葉輪組合件的葉輪罩安裝了一個終止磁鐵。軸組合件通過渦圈彈簧帶動葉輪組合件旋轉,當終止磁鐵經過終止線圈組合件時,終止線圈組合件將產生一個終止脈沖信號。根據渦圈彈簧的工作原理,在力矩 T '的作用下,渦圈彈簧的角偏移量 φ 即為起始磁鐵與終止磁鐵之間的角偏移量。當渦輪以角速度ω旋轉時,起始脈沖信號與終止脈沖信號之間的時間差△ t:

從式(15)中可以得出,當渦圈彈簧材料和形狀確定和渦輪外形尺寸確定的情況下,時間差△ t 與通過的燃油質量 m 成正比例關系,則測量起始脈沖信號與終止脈沖信號的時間差△ t,即可得出通過流量計的燃油質量 m。
3 信號檢測
將智能型電磁流量計流量與相關測試設備連接起來,就可以進行智能型電磁流量計的校準,時間差△ t 由專用試驗測試設備可以測出。起始脈沖信號和終止脈沖信號如圖 1 所示。經過專用試驗測試設備信號轉化后的信號方波如圖 2 所示。

4 結束語
文章介紹了智能型電磁流量計的測量原理及組成,分析了智能型電磁流量計的工作過程,重點討論了工作原理和信號采集原理。智能型電磁流量計抗外界干擾能力強,測量精度高、易實現實時測量,可滿足航空飛行復雜環境的需求。
燃油流量檢測是飛機發動機的重要需求之一。燃油流量檢測能夠為飛行員提供進入發動機的燃油累計消耗量和瞬時消耗量的準確信息;監控飛機發動機工作狀態(加力、巡航、小推力);對發動機供油情況(輸油管路、供油泵、閥等)故障檢測;為發動機控制(電調)系統提供控制參數,輔助發動機控制;同時降低油耗,提升環保,提高經濟性。以我國目前開展的發動機研究工作為例,發動機的*關鍵參數之一就是凈推力,而凈推力的方程如式(1)。

式中:GF 為進入發動機的燃油流量。
由此可見,燃油流量檢測參數是飛機發動機控制的關鍵參數之一。燃油流量檢測的精度與可靠性,直接關系到飛機發動機控制系統的控制精度與可靠性,進而關系到整個飛機的飛行安全。隨著燃油流量仿真、材料科學和工藝技術的不斷發展,飛機需求不斷提高,研制新一代高精度、高可靠性的機載燃油質量流量流量計,對于提高整個飛機的技戰術指標,滿足飛機(發動機)的需求,有著十分重要的意義。
機載燃油流量測量的發展經歷了體積流量測量、間接式質量流量測量和直接式流量測量三個階段。*一階段體積流量測量。體積流量測量因測量精度低(一般在2% 左右),逐漸趨于淘汰。*二階段間接式質量流量測量。間接式質量流量測量有推導式、溫度 - 壓力補償式等。例如俄羅斯的 д30 發動機采用了推導式測量方法,即容積流量 - 密度計組合式流量測量獲得質量流量,該測量方式設備體積大、重量重、精度低、可靠性較低。*三階段直接式流量測量。歐美等先進**早在 20 世 紀 70、80 年代就成功研制出直接式智能型電磁流量計,主要是動量矩式。動量矩式流量計是根據牛頓*二定律的原理制作的。從力學角度來說,質量是物體慣性的量度。物體受外力作用,運動狀態發生變化,其變化量的大小與質量有關。測量運動狀態對時間的變化率,即可測得質量流量。動量矩式流量計利用流體動量矩的變化反映質量流量,其典型結構是在儀表殼內有一個主動輪和一個從動輪,分別裝在兩短軸上。動量矩式流量計有兩種形式,一種是采用電動機以恒定角速度 ω 驅動主動輪,需要外能源。例如斯貝發動機安裝的智能型電磁流量計。另一種是采用簧片控制燃油通量,從而控制主動輪與從動輪的轉速,此種質量流量控制方法采用流體自身能量控制主動輪與從動輪恒速。其主要原理是測量部件由兩個用渦圈彈簧連接的渦輪(主動輪與從動輪)構成,渦輪受流體本身的流動能量沖擊而旋轉,兩渦輪葉片旋轉傾角不同而造成的力矩差由連接的渦圈彈簧平衡,使兩渦輪間形成扭角。扭角的大小反映質量流量的大小。測量扭角造成的信號時間差,即可測得質量流量。直接式質量流量流量計精度高(一般在 0.5% 左右,且不受溫度和燃油品質變化的影響)、體積小、重量輕、可靠性高,因此廣泛地應用于波音、空客以及新一代戰斗機上。
我國機載燃油流量測量主要是體積式流量測量,所采用的間接式質量流量測量,僅是測仿俄羅斯 д30 發動機的容積流量 - 密度計組合式智能型電磁流量計。至今,直接式流量測量剛開始起步(資料收集、方案論證階段),且未應用在任何國產飛機(發動機)上。
1 智能型電磁流量計結構及測量工作原理
智能型電磁流量計主要由機械組合件、殼體組合件、出口殼體組合件及外殼組合件等組成。
機械組合件沿殼體組合件的中心軸安裝,把流經智能型電磁流量計的燃油質量流量轉換成在其上旋轉的兩個磁鐵間的角度偏移量 φ。磁鐵轉過智能型電磁流量計殼體組合件上的兩感應線圈時,感應線圈產生并輸出脈沖信號。兩個脈沖之間存在一個時間差 △t,差值與兩個磁鐵間角度偏移量和質量流率成正比例關系。
1.1 工作原理
燃油從殼體組合件的入口端流入,流過殼體組合件上的整流體時,整流體對燃油進行整流,使流量相對平穩而不紊亂。隨后,燃油再流過機械組合件。在機械組合件的出口端,旋形帽的螺旋槽將流過的燃油改變流動方向,方向與渦輪的葉片形成一定的夾角 θ。當燃油流過渦輪時,使渦輪獲得一個角動量開始旋轉,從而使機械組合件活動部件隨著旋轉。
1.2 燃油流速的測量
為了推導渦輪轉速和燃油質量流率的關系,可先將渦輪展開,渦輪帶箭頭的斜線表示燃油流向。如果渦輪固定不動,流體流過葉片時將受到阻力,則當燃油離開渦輪的葉片時,將產生一個切向速度 V。

式中: v為流入流量計的燃油流速平均值;θ為渦輪葉片與燃油之間的夾角。
假設渦輪負載為零,這時的切向速度就是渦輪的切向速度。在這種情況下,燃油中某一油分子由 a 點流到b 點,渦輪正好轉過一個葉片。因此,燃油經過渦輪時部被扭曲,滿油能量損失,渦輪的理論旋轉角速度公式:

式中:r 為渦輪葉片的平均半徑。
從以上可以看出,渦輪將燃油流速轉換為渦輪的轉速,當流入智能型電磁流量計的燃油流率一定,則渦輪的轉速n 恒定不變。
1.3 轉速的控制
支柱組合件的厚簧片和薄簧片隨燃油流量的增加或減少而張開或閉合。小流率時,厚簧片和薄簧片處于閉合狀態,所以多數流量由旋形帽的螺旋槽導流。流率小時,流率增加會使渦輪轉速快速增加。大流率時,厚簧片和薄簧片張開,不接觸旋形帽表面,部分流量不受螺旋形槽的影響。
1.4 質量流量與葉輪偏轉角的換算
假設渦輪固定不動,燃油流過渦輪的葉片時將受到阻力,則當燃油離開渦輪的葉片時,將產生一個切向動量 mv,這個動量即為渦輪獲得沖量 。

式中:I 為渦圈彈簧材料截面慣性矩;φ 為渦圈彈簧變形角;T '為作用在渦圈彈簧上的力矩;l 為渦圈彈簧工作圈展開長度;E 為渦圈彈簧材料彈性模量。
2 信號采集
燃油入口端,軸組合件的軸肩上安裝了一個起始磁鐵。渦輪旋轉帶動軸組合件一起旋轉,當起始磁鐵每次經過起始線圈組合件時,起始線圈組合件將產生一個起始脈沖信號。燃油出口端,葉輪組合件的葉輪罩安裝了一個終止磁鐵。軸組合件通過渦圈彈簧帶動葉輪組合件旋轉,當終止磁鐵經過終止線圈組合件時,終止線圈組合件將產生一個終止脈沖信號。根據渦圈彈簧的工作原理,在力矩 T '的作用下,渦圈彈簧的角偏移量 φ 即為起始磁鐵與終止磁鐵之間的角偏移量。當渦輪以角速度ω旋轉時,起始脈沖信號與終止脈沖信號之間的時間差△ t:

從式(15)中可以得出,當渦圈彈簧材料和形狀確定和渦輪外形尺寸確定的情況下,時間差△ t 與通過的燃油質量 m 成正比例關系,則測量起始脈沖信號與終止脈沖信號的時間差△ t,即可得出通過流量計的燃油質量 m。
3 信號檢測
將智能型電磁流量計流量與相關測試設備連接起來,就可以進行智能型電磁流量計的校準,時間差△ t 由專用試驗測試設備可以測出。起始脈沖信號和終止脈沖信號如圖 1 所示。經過專用試驗測試設備信號轉化后的信號方波如圖 2 所示。

4 結束語
文章介紹了智能型電磁流量計的測量原理及組成,分析了智能型電磁流量計的工作過程,重點討論了工作原理和信號采集原理。智能型電磁流量計抗外界干擾能力強,測量精度高、易實現實時測量,可滿足航空飛行復雜環境的需求。


