導致輕烴氣流量計測量結果產生誤差的因素有哪些
點擊次數:2567 發布時間:2020-11-06 08:20:46
一、輕烴氣流量計組成部分
輕烴氣流量計是將標準孔板與差壓變送器配套組成的差壓式流量裝置,可測量氣體、蒸汽、液體及天然氣的流量,廣泛應用于石油、化工、冶金、電力、供熱、供水等領域的過程控制和測量。如圖1所示。
輕烴氣流量計組成部分

圖1輕烴氣流量計組成部分
1-標準孔板 2-引壓管路 3-三閥組 4-差壓計
二、輕烴氣流量計的工作原理
1、測量原理
輕烴氣流量計是以相似原理為根據,以實驗數據為基礎的瞬時流量計。天然氣輕烴氣流量計基于流體在通過設置于流通管道上的流動阻力件時產生的壓力差與流體流量之間的確定關系,通過測量差壓值求得流體流量。
2、流量方程
如圖2所示,根據流動連續性方程(質量守恒定律)和伯努利方程(能量守恒定律),天然氣輕烴氣流量計的流量方程為:

輕烴氣流量計的流量方程
公式(1)
式中:Q為體積流量;β為直徑比,β=d/D;d為工作條件下節流件的孔徑;D為工作條件下上游管道內徑;Ao為節流件的開孔截面積; C 為流出系數;ΔP為節流裝置前后實際測得的差壓;p為節流裝置上游流體密度;ε為可膨脹系數。
流體流經節流件時壓力和流速變化情況

圖2 流體流經節流件時壓力和流速變化情況
3、流動狀態的要求
輕烴氣流量計的流出系數 C 是在特定的實驗室參比條件下,通過大量的實驗數據推導得出的計算方法。因此,為了保證測量精度,對于氣流流動狀態應符合如下四條要求:
3.1 流體必須是牛頓流體,在物理學和熱力學上是均勻的、單相的,或者可認為是單相的流體。
3.2 流體流動是穩定流或**間變化不大的緩變流。
3.3 流體必須滿管流,流經節流件前流動應達到充分紊流,流束平行于管道軸線且無旋轉,流經節流件時不發生相變。
3.4 流體通過孔板節流裝置的流動,必須保持孔板下游靜壓與孔板上游靜壓之比不小于0.75,管道雷諾數Re≥5000(角接取壓)和管道雷諾數Re≥1260β2D(法蘭取壓)。
三、輕烴氣流量計不確定度分析
由于存在取壓方式(角接取壓、法蘭取壓)的影響;流量計算假設條件等因素的影響;孔板加工、安裝等技術要求。輕烴氣流量計的使用和流量計算必須嚴格遵守規范規定,否則,其流量測量的不確定度無法計算或誤差較大。
根據天然氣輕烴氣流量計的流量方程(公式1)可知,影響流量測量的精度主要由流出系數C、可膨脹系數、差壓和天然氣的物性。
1、流出系數不確定度變化
流出系數C是為了補償任意兩點的摩擦影響所列入的一個經驗系數,它與節流件的幾何形狀、取壓位置及雷諾數等有關,通常由試驗確定。當直管段長度符合SY/T6143-2004的規定的節流前10D和節流后4D長的測量管,圓度滿足不大于±0.3%的標準規定,則流出系數不確定度δc/c只隨β值的不同而不同。此時,當β≤0.6時,則δc/c=±0.6%;當β<0.60時,則δc/c=±β%。
2、天然氣可膨脹系數不確定度變化
當所測天然氣流經孔板時,由于流速和壓力的改變而伴隨著密度的改變(氣體壓力從P1降為p2,因膨脹而使密度減?。?,為適應此種變化以修正因假設密度等于常量而對流量引起的偏差,因此必須加人一個系數,這個系數被稱為可膨脹系數ε。

輕烴氣流量計公式
公式(2)
對于天然氣而言,可膨脹性系數的不確定度為:δε/ε=±4(Δp/pi)%
它與輕烴氣流量計實測差壓Δp成正比,與靜壓p1成反比。目前在天然氣計量中差壓值一般在50000Pa之內,靜壓在1-1OMPa范圍內,因此 δε/ε*小為±0.00002%,*大為±0.2%或更大。
3、天然氣密度測量不確定度δρ/ρ
密度取值按測量方法的不同而異,其一為直接密度測量,由密度計直接決定其值;天然氣密度測量的不確定度δρ/ρ*小為±1.013%,*大為±1.571%或更大。
4、差壓P的不確定度
標準SY/T6143—2004中的流量實用公式在應用能量方程導出過程中,規定測量管道水平(包括上、下游側的測量管)。因此,其上、下游取壓口的位置差為零,差壓Δp則是在孔板上、下游側所規定的取壓口位置上量得的靜壓之差。

流量計差壓公式
公式(3)
式中:ζΔp為差壓計的精度等級;Δpk為差壓計的量程;Δpf為預定差壓測量值。
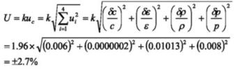
由此可見,當所用差壓計的精度為0.5級,量程為0~600kpa,預設差壓測景值為300kpa時,對于天然氣孔板流景計,置信概率為95%的測量總不確定度為:
天然氣流量測量的總不確定度,據SY/T6143-2004規定,實際上就是測量系統的測量值與真值比較,置信概率為95%的準確度,其測量的總不確定度δQn/Qn*小為±0.82%,*大為±4.52%或更大。

四、輕烴氣流量計使用中的測量誤差分析
在實際應用時,對于輕烴氣流量計如果使用不當,會造成很大的測量誤差,有時可達到20%左右。在流量計的使用中,如何減少其測量誤差,必須考慮流量的測量原理和結構形式,注意使用條件和測量對象的物理性質是否與所選用的流量計性能相適應。下面就其測量誤差進行分析:
1、流量計算方程描述流體是充滿圓管的、充分發展的定常流。若流動狀態真實性無法確定,如果仍按照原有的儀表常數推算流量,將與實際流量存在誤差。
2、天然氣以甲烷為主加上乙烷和其他少量的輕烴,真實相對密度小于或等于0.75。由于被測介質實際特性的不確定因素,以及實際物性變化影響儀表正常工作等對流量測量的不確定度產生影響。
3、孔板的結構設計、 加工、 裝配、安裝、檢驗和使用必須符合標準規定的全部技術要求。由于各個裝置自身及環境條件因素引起的不確定因素。
4、孔板安裝不正確
管道水平安裝,如果孔板開孔中心與管道中心線不同心;如果在安裝過程中存在引壓管堵塞及墊片等凸出物,則會造成孔板前后壓差測量不準確,從而造成測量誤差。
5、孔板入口邊緣被磨損
在使用中,由于流體的磨蝕作用,使孔板的人口邊緣變鈍,被磨成圓形入口邊緣。結果是在相同的流量下,孔口收縮系數變大,造成差壓發生變化,造成測量誤差。
6、孔板表面的結垢
長期使用時,孔板表面結據,使孔板的流通面積變小,從而造成差壓增大,使流量計測量值大于實際值,影響計量精度。
7、差壓變送器零點漂移和量程設置不當
由于時間較長,變送器的零點會發生漂移,這時差壓變送器的輸人和輸出信號發生變化。若不及時調整,會造成實測流量值偏低或偏高。
輕烴氣流量計是將標準孔板與差壓變送器配套組成的差壓式流量裝置,可測量氣體、蒸汽、液體及天然氣的流量,廣泛應用于石油、化工、冶金、電力、供熱、供水等領域的過程控制和測量。如圖1所示。
輕烴氣流量計組成部分

圖1輕烴氣流量計組成部分
1-標準孔板 2-引壓管路 3-三閥組 4-差壓計
二、輕烴氣流量計的工作原理
1、測量原理
輕烴氣流量計是以相似原理為根據,以實驗數據為基礎的瞬時流量計。天然氣輕烴氣流量計基于流體在通過設置于流通管道上的流動阻力件時產生的壓力差與流體流量之間的確定關系,通過測量差壓值求得流體流量。
2、流量方程
如圖2所示,根據流動連續性方程(質量守恒定律)和伯努利方程(能量守恒定律),天然氣輕烴氣流量計的流量方程為:

輕烴氣流量計的流量方程
公式(1)
式中:Q為體積流量;β為直徑比,β=d/D;d為工作條件下節流件的孔徑;D為工作條件下上游管道內徑;Ao為節流件的開孔截面積; C 為流出系數;ΔP為節流裝置前后實際測得的差壓;p為節流裝置上游流體密度;ε為可膨脹系數。
流體流經節流件時壓力和流速變化情況

圖2 流體流經節流件時壓力和流速變化情況
3、流動狀態的要求
輕烴氣流量計的流出系數 C 是在特定的實驗室參比條件下,通過大量的實驗數據推導得出的計算方法。因此,為了保證測量精度,對于氣流流動狀態應符合如下四條要求:
3.1 流體必須是牛頓流體,在物理學和熱力學上是均勻的、單相的,或者可認為是單相的流體。
3.2 流體流動是穩定流或**間變化不大的緩變流。
3.3 流體必須滿管流,流經節流件前流動應達到充分紊流,流束平行于管道軸線且無旋轉,流經節流件時不發生相變。
3.4 流體通過孔板節流裝置的流動,必須保持孔板下游靜壓與孔板上游靜壓之比不小于0.75,管道雷諾數Re≥5000(角接取壓)和管道雷諾數Re≥1260β2D(法蘭取壓)。
三、輕烴氣流量計不確定度分析
由于存在取壓方式(角接取壓、法蘭取壓)的影響;流量計算假設條件等因素的影響;孔板加工、安裝等技術要求。輕烴氣流量計的使用和流量計算必須嚴格遵守規范規定,否則,其流量測量的不確定度無法計算或誤差較大。
根據天然氣輕烴氣流量計的流量方程(公式1)可知,影響流量測量的精度主要由流出系數C、可膨脹系數、差壓和天然氣的物性。
1、流出系數不確定度變化
流出系數C是為了補償任意兩點的摩擦影響所列入的一個經驗系數,它與節流件的幾何形狀、取壓位置及雷諾數等有關,通常由試驗確定。當直管段長度符合SY/T6143-2004的規定的節流前10D和節流后4D長的測量管,圓度滿足不大于±0.3%的標準規定,則流出系數不確定度δc/c只隨β值的不同而不同。此時,當β≤0.6時,則δc/c=±0.6%;當β<0.60時,則δc/c=±β%。
2、天然氣可膨脹系數不確定度變化
當所測天然氣流經孔板時,由于流速和壓力的改變而伴隨著密度的改變(氣體壓力從P1降為p2,因膨脹而使密度減?。?,為適應此種變化以修正因假設密度等于常量而對流量引起的偏差,因此必須加人一個系數,這個系數被稱為可膨脹系數ε。

輕烴氣流量計公式
公式(2)
對于天然氣而言,可膨脹性系數的不確定度為:δε/ε=±4(Δp/pi)%
它與輕烴氣流量計實測差壓Δp成正比,與靜壓p1成反比。目前在天然氣計量中差壓值一般在50000Pa之內,靜壓在1-1OMPa范圍內,因此 δε/ε*小為±0.00002%,*大為±0.2%或更大。
3、天然氣密度測量不確定度δρ/ρ
密度取值按測量方法的不同而異,其一為直接密度測量,由密度計直接決定其值;天然氣密度測量的不確定度δρ/ρ*小為±1.013%,*大為±1.571%或更大。
4、差壓P的不確定度
標準SY/T6143—2004中的流量實用公式在應用能量方程導出過程中,規定測量管道水平(包括上、下游側的測量管)。因此,其上、下游取壓口的位置差為零,差壓Δp則是在孔板上、下游側所規定的取壓口位置上量得的靜壓之差。

流量計差壓公式
公式(3)
式中:ζΔp為差壓計的精度等級;Δpk為差壓計的量程;Δpf為預定差壓測量值。
由此可見,當所用差壓計的精度為0.5級,量程為0~600kpa,預設差壓測景值為300kpa時,對于天然氣孔板流景計,置信概率為95%的測量總不確定度為:
天然氣流量測量的總不確定度,據SY/T6143-2004規定,實際上就是測量系統的測量值與真值比較,置信概率為95%的準確度,其測量的總不確定度δQn/Qn*小為±0.82%,*大為±4.52%或更大。

四、輕烴氣流量計使用中的測量誤差分析
在實際應用時,對于輕烴氣流量計如果使用不當,會造成很大的測量誤差,有時可達到20%左右。在流量計的使用中,如何減少其測量誤差,必須考慮流量的測量原理和結構形式,注意使用條件和測量對象的物理性質是否與所選用的流量計性能相適應。下面就其測量誤差進行分析:
1、流量計算方程描述流體是充滿圓管的、充分發展的定常流。若流動狀態真實性無法確定,如果仍按照原有的儀表常數推算流量,將與實際流量存在誤差。
2、天然氣以甲烷為主加上乙烷和其他少量的輕烴,真實相對密度小于或等于0.75。由于被測介質實際特性的不確定因素,以及實際物性變化影響儀表正常工作等對流量測量的不確定度產生影響。
3、孔板的結構設計、 加工、 裝配、安裝、檢驗和使用必須符合標準規定的全部技術要求。由于各個裝置自身及環境條件因素引起的不確定因素。
4、孔板安裝不正確
管道水平安裝,如果孔板開孔中心與管道中心線不同心;如果在安裝過程中存在引壓管堵塞及墊片等凸出物,則會造成孔板前后壓差測量不準確,從而造成測量誤差。
5、孔板入口邊緣被磨損
在使用中,由于流體的磨蝕作用,使孔板的人口邊緣變鈍,被磨成圓形入口邊緣。結果是在相同的流量下,孔口收縮系數變大,造成差壓發生變化,造成測量誤差。
6、孔板表面的結垢
長期使用時,孔板表面結據,使孔板的流通面積變小,從而造成差壓增大,使流量計測量值大于實際值,影響計量精度。
7、差壓變送器零點漂移和量程設置不當
由于時間較長,變送器的零點會發生漂移,這時差壓變送器的輸人和輸出信號發生變化。若不及時調整,會造成實測流量值偏低或偏高。


